1.4、《有理数的乘除法》课后练习1
【模拟试题】
一. 选择题
1. 一件标价为250元的商品,若该商品按八折销售,则该商品的实际售价是
( )
A 180元
B 200元
C 240元
D 250元
2. 如果
>0,
>0,则下列说法错误的是
( )
A. ac<0
B. ab>0
C. ac>0
D. bc>0
3. 下列说法错误的是
( )
A. 小于-1的数的倒数大于其本身;
B. 大于1的数的倒数小于其本身
C. 一个数的倒数不可能等于它本身
D. (m-n)(其中m≠n)的倒数是![]()
4. 下列说法不正确的是
( )
A. 一个数与它的倒数之积是1
B. 两个数的积为1,这两个数互为倒数
C. 一个数与它的相反数之商是1
D. 两数之商为-1,这两个数互为相反数。
5. 已知abc<0,a>c,ac<0,则下列结论正确的是:
( )
A. a<0,b<0,c>0
B. a>0,b>0,c<0
C. a<0,b<0,c<0
D. a>0,b>0,c>0
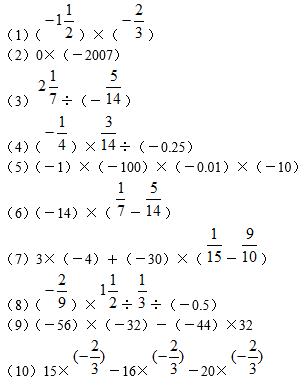
二. 6. 计算(能用简便方法的用简便方法)
三. 7. 已知︱x︱=3,︱y︱=4,xy>0。求︱3x-5y︱的值。
答案
答案
答案
1.4、《有理数的乘除法》课后练习2
基础巩固
1.一个有理数和它的相反数相乘,积为( ).
A.正数 B.负数
C.正数或0 D.负数或0
2.下列说法正确的是( ).
A.异号两数相乘,取绝对值较大的因数的符号
B.同号两数相乘,符号不变
C.两数相乘,如果积为负数,那么这两个因数异号
D.两数相乘,如果积为正数,那么这两个因数都为正数
3.如果ab=0,那么一定有( ).
A.a=b=0 B.a=0
C.b=0 D.a,b至少有一个为0
4.三个数的积是正数,那么三个数中负数的个数是( ).
A.1 B.0或2
C.3 D.1或3
5.若两个有理数的商是正数,和为负数,则这两个数( ).
A.一正一负 B.都是正数
C.都是负数 D.不能确定
6.两个不为零的有理数相除,如果交换被除数与除数的位置,它
们的商不变,那么这两个数( ).
A.一定相等 B.一定互为倒数
C.一定互为相反数 D.相等或互为相反数
7.计算(-12)÷[6+(-3)]的结果是( ).
A.2 B.6
C.4 D.-4
能力提升
8.若
=1,则m__________0.
9.若
<0,
<0,则ac__________0.[:
10.计算:
1
1.欢欢发烧了,妈妈带她去看医生,结果测量出体温是39.2 ℃,用了退烧药后,以每15分钟下降0.2
℃的速度退烧,求两小时后,欢欢的体温.
12.某班分小组举行知识竞赛,评
分标准是:答对一道题加10分,答错一道题扣10分,不答不得分也不扣分.已知每个小组的基本分为100分,有一个小组共答20道题,其中答对了10道题,不答的有2道题,结合你学过的有理数运算的知识,求该小组最后的得分是多少.
13.已知a,b互为相反数,c,d互为倒数,且a≠0,那么3a+3b+
-cd的值是多少?
14.若|a+1|+|b+
2|=0,求a+b-ab.
15.若定义一种新的
运算为a*b=
,计算[(3*2)]*
.
答案

答案


1.4、《有理数的乘除法》课后练习3
基础巩固
1.若a,b互为倒数,那么( )
A.a+b=0 B.ab=1
C.|a|=|b| D.a=b
2.两个有理数的商为正数,则( ).
A.它们的和为正数 B.它们的积为正数
C.它们的符号可能不同 D.至少有一个数是正数
3.两个非零有理数的和是零,它们的商是( ).
A.0
B.1
C.-1
D.±1
4.若a+b<0,ab>0,则有( ).
A.a>0,b>0 B.a<0,b<0
C.a<0,b>0 D.a>0,b<0
5.下列各式的积为正数的是( ).

6.
=
=
=
,这个运算运用了( ).
A.加法交换律
B.乘法交换律
C.分配律
D.乘法结合律
7.绝对值小于100的所有整数的积是______.
8
.如果5个有理数之积是负数,那么最多可以有______个因数是正数.
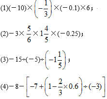
9.计算:
能力提升
10
.如果
表示运算x+y+z,
表示运算a-b+c-d,那么
的结果是多少?
11.已知a,b互为相反数,c,d互为倒数,m的绝对值等于2,求
+m-2cd的值.
12.王老师将甲、乙两种股票同时卖出,其中甲种股票卖价1 200元,盈利20%;乙种股票卖价也是1 200元,但亏损20%.问:王老师两种股票合计是盈利还是亏损?盈利或亏损多少?
答案

答案
1.4、《有理数的乘除法》课后练习4
第Ⅰ卷(选择题
共30分)
一 选择题(共10小题,每小题3分,
共30分)
1.如果两个有理数在数轴上的对应点在原点的同侧,那么这两个有理数的积( )
A.一定为正
B.一定为负
C.为零
D.可能为正,也可能为负
2.如果|x-1|+|y+2|+|z-3|=0,则(x+1)(y-2)(z+3)的值是( )
A. 48 B. -48
C. 0 D.xyz
3. 下列说法中,错误的是(
)
A.一个非零数与其倒数之积为1
B.一个数与其相反数商为-1
C.若两个数的积为1,则这两个数互为倒数
D.若两个数的商为-1,则这两个数互为相反数
4.两个有理数的商为正,则( )
A.和为正
B.和为负
C.至少一个为正
D.积为正数
5. 一个数加上5,减去2然后除以4得7,这个数是( )
A.35
B.31
C.25 D.28
6.2008个数
的乘积为0,则( )
A.均为0
B.最多有一个为0
C. 至少有一个为0
D.有两个数是相反数
7.下列计算正确的是( )
A.
B.![]()
C.
D. ![]()
8.
的倒数与4的相反数的商为( )
A.+5
B.
C.-5 D.![]()
9.若a+b<0,ab<0,则
( )
A.a>0,b>0
B. a<0,b<0
C.a,b两数一正一负,且正数的绝对值大于负数的绝对值
D.a,b两数一正一负,且负数的绝对值大于正数的绝对值
10.一服装店进了一批单价50元衬衫,标价80元,为了促销五一期间打7折销售,那么该商店每件( )
A. 赚6元
B. 亏了6元
C. 赚了30元
D. 亏了26 元
第Ⅱ卷(非选择题
共90分)
二、填空题(共8小题,每小题3分,共24分)
11.已知:
,则
________;已知:
,则
________.
12.有理数m<n<0时,(m+n)(m-n)的符号是__________.
13.规定a﹡b=5a+2b-1,则(- 4)﹡6的值为 .
14.如果a▪b<0,那么
.
15.在一次“节约用水,保护水资源”的活动中,学校提倡每人每天节约0.1升水,如果该市约有5万学生,估计该市全体学生一年的节水量为___________.
16.根据二十四点算法,现有四个数-2、4、-5、-10,每个数用且只用一次进行加、减、乘除,使其结果等于24,则列式为
=24.
17. 若
,
,a,b异号,则ab-=_____
_________
三、解答题(共7小题,共66分)
19.(8分)
(1)
(2)
20. (9分)现定义两种运算:“
”,“
”,对于任意两个整数a,b,a
b=a+b-1,a
b=a×b-
1,求4
【(6
8)
(3
5)】的值.
21.(10分)![]()
22.在10.5与它的倒数
之间有a个整数,在10.5与它的相反数之间有b个整数.
求(a+b)÷(a-b)+2的值.
23.(10分)(8分)某超市以50元进了A、B两种商品,然后以A商品提价20%,B商品降价10%出售,在某一天中,A商品10件,B商品20件, 问这一天里超市作这两种买卖是赚了还是赔了?并说明理由.
24.(10分
)王明再一次期中考试时,若以语文90分为标准,其他科分数和语文成绩的相差分数如下表
求:
(1)数学的分数;
(2)若七科平均分数是95分,生物的分数是多少?
(3)最高分与最低分相差多少分?
|
科目 |
语文 |
数学 |
英语 |
历史 |
地理 |
生物 |
政治 |
|
相差分数 |
0 |
+9 |
+6 |
-4 |
+3 |
? |
+2 |
25.观察下列等式
,
,![]()
将以上三个等式两边分别相加得:
.
(1)猜想并写出:
.
(2)直接写出下列各式的计算结果:
①
;
②
.
答案
答案
答案